Question Papers Collection
Pages
(Move to ...)
Home
More From dtsslibrary
Library Website
▼
Wednesday, November 12, 2014
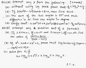
S.Y.J.C. Science 1st Term Exam, October 2014
No comments:
Post a Comment
‹
›
Home
View web version
No comments:
Post a Comment